High Energy Gamma Rays from the Galactic Center Ridge
March 2006 Top: TeV gamma rays from the Galactic Center region show two prominent point sources, one located right at the Galactic Center (see also December 2004) and one about a degree away, coincident…
PG 1553+113 – the mystery AGN
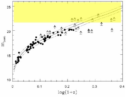
February 2006 “Hubble diagram” for host galaxies of BL Lac objects, showing apparent magnitude versus redshift (Sbarufatti et al, 2005). The diagram can be used to estimate unknown redshifts if the brightness of the…
Multiwavelength observations of H2356-309
January 2006 The ROTSE III robotic optical telescope on the H.E.S.S. site. ROTSE is a network of four 45 cm robotic, automated telescopes built for fast optical follow-up measurements in response to gamma ray…
The Blazar 1ES 1101-232 and the Gamma Ray Horizon
December 2005 The “gamma ray horizon” defined as the distance (measured in redshift z) over which a gamma ray of a given energy will typically propragate before interacting with a photon of the extragalactic…
PKS 2005-489 – the first new AGN discovered by H.E.S.S.
An artist’s view of the central region of an active galaxy shows a supermassive black hole surrounded by a disk of hot gas, and a large doughnut or torus of cooler gas and dust.…
Markarian 421 – a Fresh Look at a Familiar Source
H.E.S.S. observations of Markarian 421 use the large-zenith-angle technique: for gamma rays incident on the atmosphere at large angles (right part of illustration), the particle cascade develops higher up and the Cherenkov light spreads…
HESS J1825-137 – a Crushed Pulsar Wind Nebula?
Simulation of a supernova exploding into an inhomogeneous interstellar medium (Blondin et al, 2001). In the less dense regions (bottom), the shock wave (outer contour) propagates faster. At the center is a pulsar left…
Very high energy gamma rays from the microquasar LS 5039
A computer simulation of the microquasar LS5039, showing one possible scenario where gamma rays are generated in microquasar ‘jets’. The companion star to the compact object is a massive star that is losing material…
HESS J1813-178 — no longer an unidentified TeV source
The new TeV gamma-ray source HESS J1813-178 and its surrounding field. The inset illustrates the H.E.S.S. “beam size” governed both by the experimental resolution and a certain amount of smoothing applied to the image.…
MSH 15-5 2 – a Pulsar Wind Nebula with a Jet
Chandra X-ray image (Gaensler et al. 2002) of the region around the MSH 15-5 2 remnant (also known as G320.4-1.2). At the center the 150 ms X-ray, gamma and radio pulsar PSR B1509-58, surrounded…





