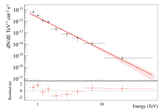
Among the population of Galactic very high energy gammma ray sources, pulsar wind nebula appear to be the dominant source class, see e.g. Kargaltsev and Pavlov (2010) for a compilation. With the discovery of new pulsars e.g. by Fermi (Abdo et al. 2009), more previously unidentified very high energy sources are identified as electron-positron nebulae driven by pulsars. One example of a recent discovery is the very high energy gamma ray source HESS J1458-608 (top image). A first marginal detection was achieved in the H.E.S.S. Galactic Plane Survey carried out since 2004. Dedicated follow-up observations in 2009 and 2010 clearly established extended emission, at a significance of about 8 standard deviations. The (Gaussian) width of the emission region is about 0.17 degr., well resolved given the angular resolution of the instrument. While there is a hint of additional structure – possibly a second source hidden in the tail of a dominant source – this is not statistically significant with the current data. HESS J1458-608 has a flux of about 6% of the Crab Nebula flux and a power-law spectrum with index 2.8 extending beyond 10 TeV(Fig. 1).
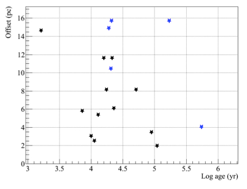
While H.E.S.S. data were analyzed, Fermi reported detection of the pulsar PSR J1459-60 in GeV gamma rays (Abdo et al. 2009, 2010), followed by detections in X-rays by Suzaku (Kanai 2010, Ph.D. thesis) and Swift (Ray et al. 2011). PSR J1459-60 is located about 10′ from the peak emission of the H.E.S.S. source. The pulsar, at an estimated distance around 4 kpc, has a period of 103 ms, an age around 60 krys, and a high spin-down energy loss of almost 10^36 ergs/s. The luminosity of the H.E.S.S. source, at an assumed distance of 4 kpc, corresponds to 2% of the pulsar spin-down energy loss, well in the range of other pulsar wind nebulae. The 10′ distance between pulsar and H.E.S.S. source translates into a 11 pc, again well within the range of offsets observed for other pulsar wind nebula (Fig. 2), and explained e.g. by a pulsar velocity of about 200 km/s, moving away from the pulsar birth location and leaving a nebula of relic electrons behind, most of which were generated when the pulsar was young and spin-down losses were even higher. Absence of other mechanisms to explain the very high energy gamma ray emission, such as molecular clouds detected in radio, make the emission by pulsar-generated electrons scattering off ambient photons the most plausible scenario for HESS J1458-608.
Reference: “A newly discovered VHE gamma-ray PWN candidate around PSR J1459-60”, H.E.S.S. Collaboration, R. de los Reyes et al., Contribution to the 32nd ICRC, Beijing, China, August 2011, and arXiv:1205.0719.


